山东科源制药股份有限公司
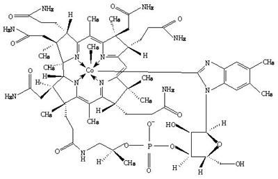
甲钴胺

甲钴胺

                                     化学名称:Coα-[α-(5,6二甲基苯并咪唑基)]- Coβ甲钴酰胺

  

                                                    C63H91CoN13O14P    1344.38

                                             产品包装:1kg/袋

产品发布日期:2016.06.13
山东科源制药股份有限公司