
“SurePlex™ [PicoPLEX] represents a major step forward in amplification technology…we selected SurePLEX due to its rapid protocol, highly representative amplification,and low allele dropout when compared to other amplification methods.”
–Nick Haan, founder and CEO of BlueGnome, an Illumina Company
有一个细胞扩增DNA 产生一个高度可再生的文库现在成为了可能!PicoPLEX WGA kit 用于设计优化用于单拷贝基因组DNA的扩增。简单易用的单管操作流程减少了手动操作的失误,得到结果的时间得到了大幅度的优化,并且降低了背景。PicoPLEX WGA kit 同样可以被用于分离好的基因组DNA,范围为15pg到50ng之间。可以应用于Array CGH和q-PCR.
*Protected by US Patent 8,206,913 and EU pending applications
PicoPLEX WGA kits 被IVF行业领导者BlueGnome公司信赖并使用,在全世界范围内用于PGS/PGD项目。
单个细胞起始的扩增反应(或<15pg DNA)
卓越的等位基因重复性
简单易用的操作流程
准确可靠的结果,不论是芯片还是PCR

流式分选癌症细胞采用PicoPLEX WGA kit进行扩增,以同一比率扩增,并且结果一致,可预期的产量。绿色为不含细胞的样本,显示出非常低的背景值。

单胚叶细胞活检样本使用PicoPLEX WGA kit 进行扩增,标记,杂交到BlueGnome的24Sure芯片上。图中清晰的指出了CNVs。2011年,ESHRE进行临床试验确定了PicoPLEX技术进行核型分析的准确性。

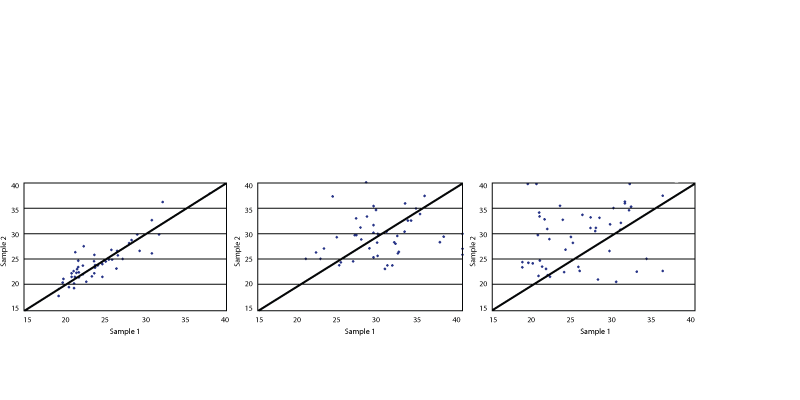
位点特异性q-PCR用于定量48位点在独立的单细胞文库中。两个单独的样本采用PicoPLEX WGA kit进行扩增,下图比较了两个结果,GenomePLEX和GenomiPhi使用10pgDNA。超过90%的结果可验证,表现出了非常高的重复性和可靠性。从左到有分别为:PicoPLEX、GenomePLEX和GenomiPhi。

储存温度:-20°C
保质期:12个月
建库起始量:
动物细胞(1-10个;e.g. 胚叶细胞,极体,滋养层细胞,羊水细胞,CTCs,培养细胞。)
1000-10000个细菌细胞