别名:T-65;聚氧乙烯山梨醇酐三硬脂酸酯
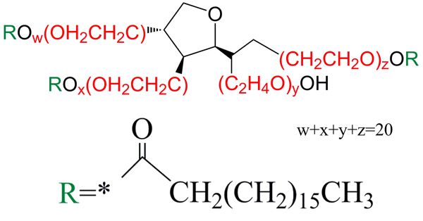
结构式:
分子式:C100H194O28
CAS NO.:9005-71-4
性质:黄色蜡
状固体。可溶于乙醇、异丙醇和菜籽油、矿物油中。HLB值为10.5。
质量标准:
外观:琥珀色至浅黄色油状液体
酸值(mgKOH/g):≤2
皂化值(mgKOH/g):45~55
羟值(mgKOH/g):65~80
水分(%):≤3
用途:在石油、医药、食品、纺织、化妆品、农业等行业用作乳化剂,此外还可以用作稳定剂、抗散剂和润湿剂等。
包装及储运:200KG广口铁桶/100KG广口塑料桶包装。运输时注意轻装、轻卸,储存于阴凉、通风干燥处,储存期2年。