| 产品特征 |
|---|
| 光线种类 | 红光 |
| 通信接口 | IO-Link |
| 外壳 | 矩形的 |
| 尺寸 [mm] | 28.1 x 8.1 x 14.4 |
| 应用 |
|---|
| 特殊的性能 | 背景消隐 |
| 功能原理 | 漫反射光电开关 |
| 电气数据 |
|---|
| 工作电压 [V] | 10...30 DC |
| 电流损耗 [mA] | 20; ((24 V)) |
| 防护等级 | III |
| 反相保护 | 有 |
| 光线种类 | 红光 |
| 波长 [nm] | 633 |
| 输出 |
|---|
| 电气设计 | PNP |
| 输出功能 | 亮通模式 |
| 开关量输出DC电压降最大值 [V] | 2.5 |
| 开关量输出DC的持续电流负载 [mA] | 100 |
| 开关频率DC [Hz] | 1000 |
| 短路保护 | 有 |
| 短路保护类型 | 脉冲 |
| 监控范围 |
|---|
| 检测距离 [mm] | 3...15; (白纸 200 x 200 mm) |
| 白色物体的检测距离(6 %反射) [mm] | 3...15 |
| 灰色物体的检测距离:(18 %反射) [mm] | 5...15 |
| 黑色物体的检测距离(6 %反射) [mm] | 5...15 |
| 检测距离可设 | 有 |
| 光斑直径最大值 [mm] | 4 |
| 光点尺寸参考 | 在***检测距离 |
| 监控范围终值 [mm] | 10...80 |
| 背景消隐可用 | 有 |
| 接口 |
|---|
| 通信接口 | IO-Link |
| 传递类型 | COM2 (38,4 kBaud) |
| IO-Link revision | 1.1 |
| SDCI标准 | IEC 61131-9 |
| 外形 | Smart Sensor: Device Identification; Device Diagnosis; Teach Channel; Switching Channel |
| SIO模式 | 有 |
| 必需的mater port type | A |
| 处理周期最小值 [ms] | 3 |
| IO-Link过程数据(周期性) | |
| IO-Link功能(非周期性) | 应用特定标签; 运行小时数计数器; 开关循环数计数器 |
| 支持的DeviceID | |
| 工作条件 |
|---|
| 环境温度 [°C] | -25...60 |
| 外壳防护等级 | IP 65; IP 67 |
| 认证/测试 |
|---|
| EMC电磁兼容 | |
| MTTF [年] | 757 |
| 机械技术数据 |
|---|
| 重量 [g] | 21.2 |
| 外壳 | 矩形的 |
| 尺寸 [mm] | 28.1 x 8.1 x 14.4 |
| 原材料 | 外壳: ABS; 不锈钢(1.4404 / 316L) |
| 透镜材料 | |
| 透镜校准 | 侧面的镜组 |
| 显示器/操作件 |
|---|
| 显示 | | 开关状态 | 1 x LED, 黄色 | | 操作 | 1 x LED, 绿色 |
|
| 注释 |
|---|
| 包装单位 | 1 件 |
| 电气连接 |
|---|
| 接口 | 电缆: 0.3 m, PVC; 3 x 0.08 mm² |
| 接口 | 接插件: 1 x M8 |
| 图表 |
|---|
| 
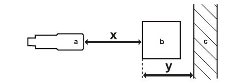
| a: | 传感器 |
|---|
| b: | 目标 |
|---|
| c: | 背景 |
|---|
| x: | 距离传感器/目标物 [mm] |
|---|
| y: | 最小的距离物体/背景 [mm] |
|---|
|
|---|
| 精确度曲线 | 
| x: | 距离传感器/目标物 [mm] |
|---|
| y: | 最小的距离物体/背景 [mm] |
|---|
| 1 = | 目标 黑色(6 %反射) , 背景(白色90 %反射) |
|---|
| 2 = | 目标 灰色(18 %反射) , 背景(白色90 %反射) |
|---|
| 3 = | 目标 白色(90 %反射) , 背景(白色90 %反射) |
|---|
|
|---|